1.1. Contact organisation
Statistics Sweden
1.2. Contact organisation unit
Economic Statistics and Analysis
1.3. Contact name
Restricted from publication
1.4. Contact person function
Restricted from publication
1.5. Contact mail address
Statistics Sweden
Att. Elin Stendahl
ESA/NUP/INF
Solna strandväg 86, Solna
SWEDEN
1.6. Contact email address
Restricted from publication
1.7. Contact phone number
Restricted from publication
1.8. Contact fax number
Restricted from publication
28 October 2025
2.1. Metadata last certified
28 October 2025
2.2. Metadata last posted
28 October 2025
2.3. Metadata last update
28 October 2025
3.1. Data description
Statistics on higher education R&D (HERD) measure research and experimental development (R&D) performed in the higher education sector, i.e. R&D expenditure and R&D personnel. In line with this objective the target population for the national R&D survey of the higher education sector should consist of all R&D performing institutional units (including all R&D performers – occasional and continuous, known and unknown - in all branches and size classes) belonging to this sector.
The main concepts and definitions used for the production of R&D statistics are given by the OECD (2015), Frascati Manual 2015: Guidelines for Collecting and Reporting Data on Research and Experimental Development, The Measurement of Scientific, Technological and Innovation Activities, which is the internationally recognised standard methodology for collecting R&D statistics and Eurostat’s European Business Statistics Methodological Manual on R&D Statistics (EBS Methodological Manual on R&D Statistics) complements this with guidelines for further harmonisation among EU, EFTA and candidate countries.
The guiding document to preparing the quality reports is the European Statistical System (ESS) Handbook for Quality and Metadata Reports — re-edition 2021.
Since the beginning of 2021, the collection of R&D statistics is based on Commission Implementing Regulation (EU) No 2020/1197 of 30 July 2020. The Regulation sets the framework for the collection of R&D statistics and specifies the main variables of interest and their breakdowns at predefined level of detail.
3.2. Classification system
- The local unit for the statistics are compiled at regional level according to NUTS 2 – Nomenclature of Territorial Units for Statistics;
- The distribution by socioeconomic objectives (SEO) are based on Nomenclature for the Analysis and Comparisons of Scientific Programmes and Budgets (NABS);
- The fields of research and development are based on Classification and distribution by Fields of Research and Development (FORD);
- The R&D personnel and researchers by educational attainment are classified by the International Standard Classification of Education ISCED 2011.
3.3. Coverage - sector
See below.
3.3.1. General coverage
Definition of R&D
R&D comprise creative and systematic work undertaken in order to increase the stock of knowledge - including knowledge of humankind, culture and society - and to devise new applications of available knowledge.
R&D definition used for the Higher education sector is in line with the Frascati Manual (FM) definition.
3.3.2. Sector institutional coverage
| Tertiary education institution | All universities and other tertiary education institutions are included. Research centres and non-profit organisations that have their R&D activities under the direct control of, or administered by, tertiary education institutions are not included due to the additional cost their inclusion would incur. |
|---|---|
| University and colleges: core of the sector | All universities and other tertiary education institutions are included. |
| University hospitals and clinics | University hospitals and clinics are included. |
| Inclusion of units that primarily do not belong to HES and the borderline cases |
No units that do not primarily belong to HES are included. |
3.3.3. R&D variable coverage
| R&D administration and other support activities | R&D administration and other support activities are included. Compliant with FM15. |
|---|---|
| External R&D personnel | Master students and doctoral students externally employed by business enterprises are excluded because there is no way to identify these individuals. |
| Clinical trials: compliance with the recommendations in the Frascati Manual §2.61. | Clinical trials funded and/or conducted by the Higher education sector are included. When trails are co-funded by actors from other sectors, only the part funded by HES is included. Compliant with FM15. |
3.3.4. International R&D transactions
| Receipts from rest of the world by sector - availability | Available. The HES survey covers funding from rest of the world. |
|---|---|
| Payments to rest of the world by sector - availability | Not available. The HES survey does not cover funding of extramural R&D. |
3.3.5. Extramural R&D expenditures
According to the Frascati Manual (FM), expenditure on extramural R&D (i.e. R&D performed outside the statistical unit) is not included in intramural R&D performance totals (FM, §4.12).
| Data collection on extramural R&D expenditure (Yes/No) | No |
|---|---|
| Method for separating extramural R&D expenditure from intramural R&D expenditure | No method is available for separating extramural R&D expenditure from intramural R&D expenditure for the Higher education sector. |
| Difficulties to distinguish intramural from extramural R&D expenditure | R&D expenditure is derived from data on funding for R&D, thus it is not possible to distinguish between extramural and intramural R&D expenditure. All R&D expenditure are therefore assumed to be intramural R&D. |
3.4. Statistical concepts and definitions
See below.
3.4.1. R&D expenditure
| Coverage of years | Between 1993 and 2005, R&D expenditure are available for all odd reference years. From 2007 to 2023, R&D expenditure are available for all years. |
|---|---|
| Source of funds | R&D expenditure is collected on most of the sources of funds specified in Table 4.3 in FM15. Data is not collected on Higher education sector and Government sector in the Rest of the World, only the EU is included in international organisations. |
| Type of R&D | Available according to FM guidlines. Intramural R&D expenditure are broken down by basic research, applied research and, experimental development. |
| Type of costs | Current costs are only available as a total, no breakdown by labour costs and other current costs is available. Capital costs are available both as a total and broken down into capital costs for land and buildings and capital costs for machinery and equipment respectively. |
| Defence R&D - method for obtaining data on R&D expenditure | No method is available to identify defence R&D in the HES survey. |
3.4.2. R&D personnel
See below.
3.4.2.1. R&D personnel – Head Counts (HC)
| Coverage of years | From 2007 to 2023, R&D personnel in head counts is available for all odd reference years. |
|---|---|
| Function | R&D personnel in head counts are only broken down into researchers and supporting staff. No breakdown off the supporting staff into technicians and other supporting staff is available. For the available functions there are no deviations from FM15. |
| Qualification | Qualification is broken down into three categories: ISCED 1-4, 5-7, and 8. Qualifications obtained abroad are not always available in the registers from which this data is collected. |
| Age | Not available. Age is not covered in the HES survey. |
| Citizenship | Not available. Citizenship is not covered in the HES survey. |
3.4.2.2. R&D personnel – Full Time Equivalent (FTE)
| Coverage of years | Between 1995 and 2005, R&D personnel in full time equivalents are available for all odd reference years. From 2007 to 2023, R&D personnel in full time equivalents are available for all years. |
|---|---|
| Function | R&D personnel in full time equivalents are only broken down into researchers and supporting staff. No breakdown off the supporting staff into technicians and other supporting staff is available. For the available functions there are no deviations from FM15. |
| Qualification | Qualification is broken down into three categories: ISCED 1-4, 5-7, and 8. Qualifications obtained abroad are not always available in the registers from which this data is collected. |
| Age | Not available. Age is not covered in the HES survey. |
| Citizenship | Not available. Citizenship is not covered in the HES survey. |
3.4.2.3. FTE calculation
R&D full-time equivalents are estimated based on a time-use survey. They are calculated by multiplying the percentage of time spent on R&D activities with the scope of employment as a percentage of full-time employment. The scope of employment is based on administrative data provided by the higher education institutions.
3.5. Statistical unit
The statistical unit is the institutional unit as defined by Council Regulation (EEC) No 1993/696 of 15 March 1993.
3.6. Statistical population
See below.
3.6.1. National target population
The target population is the population for which inferences are made. The frame (or frames, as sometimes several frames are used) is a device that permits access to population units. The frame population is the set of population units which can be accessed through the frame and the survey data really refer to this population of institutional units.
The objective of the European R&D statistics is to cover all intramural R&D activities. In line with this objective, the target population for the national R&D survey of the HES Sector should consist of all R&D performing institutional units (including known R&D performers or assumed to perform R&D). In practise however, countries in their R&D surveys might have difficulty in identifying R&D activities at the municipality level.
| Target population when sample/census survey is used for collection of raw data | Target population when administrative data or pre-compiled statistics are used | |
|---|---|---|
| Definition of the national target population | R&D expenditure survey: The target population is all institutional units located in Sweden and belonging to the Higher education sector (as defined by FM15) who performed R&D during the reference period. Time-use survey: The target population is all positions at Swedish higher education institutions that consist, to at least 10 percent, of R&D or direct support to R&D activities. |
Time-use survey: The target population is all positions at Swedish higher education institutions that consist, to at least 10 percent, of R&D or direct support to R&D activities. |
| Estimation of the target population size | R&D expenditure survey: 39 higher education institutions. Time-use survey: 58 769 positions. |
Time-use survey: 58 769 positions. |
3.7. Reference area
Not requested. R&D statistics cover national and regional data.
3.8. Coverage - Time
Not requested, see concept 12.3.3 (Data availability).
3.9. Base period
The base year for the unit Purchasing Power Standard (PPS) and PPS per inhabitant at constant prices is currently 2005. All calculations of non-basic unit (national currencies) are done by Eurostat.
R&D expenditure is published in the following units: Euro (MIO_EUR) and Euro per inhabitant (EUR_HAB); data are available in the following units: basic unit National currency (MIO_NAC); Purchasing Power Standard (MIO_PPS); Purchasing Power Standard at 2005 prices (MIO_PPS_KP05); Purchasing Power Standard per inhabitant at constant 2005 prices (PPS_HAB_KP05); Percentage of gross domestic product (PC_GDP); and Percentage of total R&D expenditure (PC_TOT - for the breakdown by source of funds).
R&D personnel data are published in full-time equivalent (FTE), in head count (HC), as a percentage of total employment and as a percentage of active population.
Calendar year 2023 is the reference year.
6.1. Institutional Mandate - legal acts and other agreements
See below.
6.1.1. European legislation
Legal acts / agreements:
Since the beginning of 2021, the collection of R&D statistics is based on the Commission Implementing Regulation (EU) No 2020/1197 of 30 July 2020 laying down technical specifications and arrangements pursuant to Regulation (EU) 2019/2152 of the European Parliament and of the Council on European business statistics repealing 10 legal acts in the field of business statistics. The Regulation sets the framework for the collection of R&D statistics and specifies the main variables of interest and their breakdowns at predefined level of detail. The transmission of R&D data is mandatory for Member States and EEA countries.
The Commission Implementing Regulation (EU) No 2012/995 concerning the production and development of Community statistics on science and technology was in force until the end of 2020.
6.1.2. National legislation
| Existence of R&D specific statistical legislation | There is no R&D specific national statistical legislation. |
|---|---|
| Are respondents obliged by the national law to provide raw and administrative data: | Individuals are not obligated to respond. However, Statistics Sweden has a right to regulate obligations for business enterprises and government units (including higher education institutions) to provide raw data and administrative data. |
6.1.3. Standards and manuals
- Frascati Manual 2015, Guidelines for Collecting and Reporting Data on Research and Experimental Development
- European Business Statistics Methodological Manual on R&D Statistics
6.2. Institutional Mandate - data sharing
Not requested.
7.1. Confidentiality - policy
A property of data indicating the extent to which their unauthorised disclosure could be prejudicial or harmful to the interest of the source or other relevant parties.
At the level of the ESS, the EU regulation 223/2009 on European statistics defines confidential data as data which allows statistical units (respondents) to be identified, either directly - by formal identifiers such as respondents’ names, addresses, identification numbers - or indirectly - by using a combination of variables or characteristics such as age, gender, education - thereby disclosing individual information (see Article 2(1)(e) of regulation 223/2009).
At national level:
- Confidentiality protection required by law:
The major policy in place to ensure confidentiality and prevent unauthorised disclosure of data that identify a person or economic entity is the Public Access to Information and Secrecy Act (2009:400). There are also specific conditions concerning the confidentiality of official statistics in the Official Statistics Act (2001:99).
- Confidentiality commitments of survey staff:
Statistics Sweden has a confidentiality policy to which all survey staff must adhere. It contains guidance on the practical application of the legal acts stated above.
7.2. Confidentiality - data treatment
For aggregate outputs, primary cell suppression is used as a general rule to ensure no confidential information is disclosed. To ensure that the information cannot be calculated using data in other cells, secondary cell suppression is also used. For R&D statistics concerning the Higher education sector this applies to all R&D personnel statistics. For statistics on R&D expenditure, microdata is made publicly available. This is because data on government agencies should be publicly available as per the Public Access to Information and Secrecy Act (2009:400). Private higher education institutions must give Statistics Sweden their permission before microdata can be disclosed.
Any disclosure of microdata from the time-use survey must be tried. It can be disclosed only for research or statistical purposes and only to such entities that are deemed able to ensure confidentiality protection of the data.
8.1. Release calendar
The release policy and the release calendar are publicly available at Statistics Sweden's website.
8.2. Release calendar access
For Eurostat this is: Release calendar - Eurostat (europa.eu)
For Statistics Sweden: Release calendar - Statistics Sweden
8.3. Release policy - user access
Statistics Sweden's release policy states that all statistics must be made available to all users equally and at the same time. Statistics are always released at 8.00 am on weekdays. Users are also informed of the availability of new statistics by news releases on Statistics Sweden's website. It is possible for users to subscribe to get e-mail notifications when new statistics within a certain subject area are released. Statistics are released by being made available in the statistical database.
The frequency of R&D data dissemination at Eurostat level is yearly for provisional and final data.
Nationally, R&D data are disseminated yearly. Provisional statistics are published in July and final statistics in October.
10.1. Dissemination format - News release
See below.
10.1.1. Availability of the releases
| Availability (Y/N)1 | Links | |
|---|---|---|
| Regular releases | Y | R&D activity in Sweden grows in 2023 |
| Ad-hoc releases | N |
1) Y - Yes, N – No
10.2. Dissemination format - Publications
See below.
10.2.1. Availability of means of dissemination
| Means of dissemination | Availability (Y/N)1 | Links |
|---|---|---|
| General publication/article | N | |
| Specific paper publication (e.g. sectoral provided to enterprises) | Y | Research and Development in the Higher Education Sector 2023 |
1) Y – Yes, N - No
10.3. Dissemination format - online database
All R&D data are published in Statistics Sweden’s online database: Statistical database - Select table.
10.3.1. Data tables - consultations
Not requested.
10.4. Dissemination format - microdata access
As Eurostat receives no R&D micro-data from the reporting countries, users should contact directly the respective national statistical institute (NSI) for access to the micro-data.
10.4.1. Provisions affecting the access
| Access rights to the micro-data | Microdata are available for research or statistical purposes. An application must be made in which the research project is described, and the use of the microdata specified. The system for researchers to access microdata stored at Statistics Sweden is called Microdata Online Access (MONA). Access is only granted if the confidentiality of data can be ensured by the receiving party. |
|---|---|
| Access cost policy | Statistics Sweden applies the principle of full cost coverage, i.e. the charge covers the actual cost of processing and producing the microdata requested. |
| Micro-data anonymisation rules | All micro data are anonymised. Statistics Sweden can use a common anonymisation key when microdata from several sources is requested at the same time. |
10.5. Dissemination format - other
See below.
10.5.1. Metadata - consultations
Not requested.
10.5.2. Availability of other dissemination means
| Dissemination means | Availability (Y/N)1) | Micro-data / Aggregate figures | Comments |
|---|---|---|---|
| Internet: main results available on the national statistical authority’s website | Y | Both micro data and aggregate figures. | Data are available in the online statistical database on Statistic Sweden’s website. Micro data are only available in R&D expenditure in the Higher education sector. Other variables are available as aggregate figures for confidentiality reasons. |
| Data prepared for individual ad hoc requests | Y | Both micro data and aggregate figures. | Access to micro data is only granted for research or statistical purposes. All ad hoc requests are priced at full cost coverage. |
| Other | N |
1) Y – Yes, N - No
10.6. Documentation on methodology
The main documentation on methodology is titled Statistikens framställning (translates to Statistical production) which is updated when new statistics are published. There is a common document covering all sectors for the R&D statistics in which the specific methodology for each sector is described. This documentation is only available in Swedish.
Annexes:
Methodology report (Swedish)
Methodology report (English)
10.6.1. Metadata completeness - rate
Not requested.
10.7. Quality management - documentation
See below.
10.7.1. Documentation and users’ requests
| Type(s) of data accompanying information available (metadata, graphs, quality reports, etc.) | Statistical data is always accompanied by a quality report, a methodology report and metadata documentation. The information is available online on Statistics Sweden's website and follows common standards for all official statistics in Sweden. Statistical database tables also contain footnotes in case there is important information about the data that users need to be aware of when using the data. |
|---|---|
| Requests on further clarification, most problematic issues | Few users provide feedback on clarity. One issue that has been raised, however, is the difficulty in understanding the differences between R&D statistics concerning the Higher education sector and other statistics on higher education provided by the Swedish Higher Education Authority. |
Annexes:
Quality report (Swedish)
Metadata documentation (only available in Swedish)
Quality report (English)
11.1. Quality assurance
At Eurostat level, the common quality framework of the European Statistical System (ESS) is composed of the European Statistics Code of Practice, the Quality Assurance Framework of the ESS, and the general quality management principles (such as continuous interaction with users, continuous improvement, integration, and harmonisation).
The quality management process at Statistics Sweden is described in a Quality policy. There is also a handbook on quality in official statistics which provides guidance concerning quality management and definitions and guidance on the quality criteria. The quality criteria for official statistics are regulated by the Official Statistics Act (2001:99).
The framework for quality assurance set out in the Quality policy is a cyclic process with four steps: (i) understanding legal requirements and user needs, (ii) standardised, efficient and secure processes, (iii) analysis and evaluation, and (iv) improvement and development activities.
11.2. Quality management - assessment
The guiding document to preparing the quality reports is the European Statistical System (ESS) Handbook for Quality and Metadata Reports — re-edition 2021.
The quality of the statistics is assessed regularly, and the R&D statistics meet the quality requirements. The relevance of R&D statistics for the Higer education sector is good, meeting international as well as national user needs. Statistics are highly accurate due to good frame coverage and high response rates. However, measurement error is considered the most important source of uncertainty in the statistics as a result of the relatively complex concepts involved in R&D statistics and that respondents are required to report on. Yet, the accuracy is considered appropriate in relation to such legal requirements and user needs as have been identified. For the time-use survey, object non-response is also a mounting challenge. Statistics for the Higher education sector are also comparable over time. At an aggregate level, significant time series breaks are few. In all, the overall quality of the R&D statistics for the Higher education sector is very good.
12.1. Relevance - User Needs
See below.
12.1.1. Needs at national level
| Users’ class1) | Description of users | Users’ needs |
|---|---|---|
| 1 - Institutions | Among the most important users in this class are the European Commission (through Eurostat), the Ministry of Enterprise and Innovation, the Ministry of Education, the Swedish Higher Education Authority and the Swedish Research Council. Regional and local government, as well as higher education institutions are also users of R&D statistics concerning the Higher education sector. | Comparability over time is one of the most important requirements. The Ministry of Education in particular also require a high degree of timeliness as the statistics are used when formulating the state budget. Comparability between R&D statistics concerning the Higher education sector and other statistics regarding higher education is also required by users. This requires coherence and coordination in the use of classifications between Statistics Sweden and the Swedish Higher Education Authority. For the European Commission, comparability between member states is a priority.
|
| 4 - Researchers and students | Researchers and students at higher education institutions and research institutes such as RISE and the Research Institute of Industrial Economics are the most important users in this class. | Accuracy is an important quality aspect for this user class as well as comparability both over time, between groups and with other statistics. This is also a group of users who request detailed data and often microdata. Access to microdata and the possibility to make ad-hoc requests for data on other breakdowns than those that are openly available is therefore important to this group. |
| 2 - Social actors | Trade associations such as Teknikföretagen (a trade association for the Swedish industry sector) and the Swedish Association of Local Authorities and Regions are identified as some of the most important users in this class. | Comparability between groups is an important quality aspect for these users. They tend to have specific interests and want to be able to compare the development in those industries or sectors that they represent with other industries or sectors. Breakdown by region is the most requested by this group of users. |
| 5 - Enterprises or businesses | No mapping has been done to identify the most important users among enterprises and businesses. | |
| 3 - Media | Trade media is considered to be the most important users in this class. | Timeliness and accessibility are important aspects to this group of users. Press releases containing citations from experts on the statistics at the time of publication is one measure taken to better accommodate the needs of the news media. |
| 6 - Other | Other important users are the public. | Clarity is among the most important aspects for the general public. This user class cannot be expected to have a detailed knowledge about the concepts and definitions used in the R&D statistics which makes clarity in the documentation and in other publications important. |
1) Users' class codification
1- Institutions:
- European level: Commission (DGs, Secretariat General), Council, European Parliament, ECB, other European agencies etc.
- in Member States, at the national or regional level: Ministries of Economy or Finance, other ministries (for sectoral comparisons), National Statistical Institutes and other statistical agencies (norms, training, etc.), and
- International organisations: OECD, UN, IMF, ILO, etc.
2- Social actors: Employers’ associations, trade unions, lobbies, among others, at the European, national or regional level.
3- Media: International or regional media – specialized or for the general public – interested both in figures and analyses or comments. The media are the main channels of statistics to the general public.
4- Researchers and students (Researchers and students need statistics, analyses, ad hoc services, access to specific data.)
5- Enterprises or businesses (Either for their own market analysis, their marketing strategy (large enterprises) or because they offer consultancy services)
6- Other (User class defined for national purposes, different from the previous classes.)
12.2. Relevance - User Satisfaction
To evaluate if users' needs have been satisfied, the best way is to use user satisfaction surveys.
12.2.1. National Surveys and feedback
| Conduction of a user satisfaction survey or any other type of monitoring user satisfaction | No user satisfaction survey has been conducted. User satisfaction is mainly monitored through user councils. |
|---|---|
| User satisfaction survey specific for R&D statistics | No specific user satisfaction survey for R&D statistics has been conducted. There is, however, a specific user council for R&D statistics. |
| Short description of the feedback received | Overall user satisfacation is high. |
12.3. Completeness
See below.
12.3.1. Data completeness - rate
100 %
12.3.2. Completeness - overview
Completeness is assessed via comparison of the data delivered against the requirements of Commission Implementing Regulation (EU) No 2020/1197. The Regulation (EU) stipulates periodicity of variables that should be provided, breakdowns and if they should be provided mandatory or on voluntary basis.
| Reasons for missing cells | |
|---|---|
| Preliminary variables | |
| Obligatory data on R&D expenditure | |
| Optional data on R&D expenditure | The survey method used to collect data on R&D expenditure does not allow for distinguishing between labour costs and other current costs nor between exchange funds and transfer funds as this level of detail is not available in the administrative data used. |
| Obligatory data on R&D personnel | |
| Optional data on R&D personnel | Missing cells are mainly due to resource limitations necessitating priorities. Concerning seniority, there is not administrative data that can be used to make the classification. |
| Regional data on R&D expenditure and R&D personnel |
12.3.3. Data availability
See below.
12.3.3.1. Data availability - R&D Expenditure
| Availability1) | Frequency of data collection | Gap years – years with missing data | Changes - Description | Changes - Year of introduction | Changes - Reasons | |
|---|---|---|---|---|---|---|
| Source of funds | 1981 | Annually | Even years since start year. | |||
| Type of R&D | 2021 | Biennially | Even years since start year. | |||
| Type of costs | 1981 | Biennially | Even years since start year. | |||
| Socioeconomic objective | N | |||||
| Region | 2003 | Biennially | Even years since start year. | |||
| FORD | 1981 | Biennially | Even years since start year. | The national nomenclature for classification according to field of research was revised to better follow the FORD classification. | 2011 | Improving international comparability. |
| Type of institution | N |
1) Y-start year, N – data not available
12.3.3.2. Data availability - R&D Personnel (HC)
| Availability1) | Frequency of data collection | Gap years – years with missing data | Changes - Description | Changes - Year of introduction | Changes - Reasons | |
|---|---|---|---|---|---|---|
| Sex | 1999 | Biennially | Even years since start year. | |||
| Function | 1997 | Biennially | Even years since start year. | |||
| Qualification | 2017 | Biennially | Even years since start year. | |||
| Age | N | |||||
| Citizenship | N | |||||
| Region | 1993 | Biennially | Even years since start year. | |||
| FORD | 1999 | Biennially | Even years since start year. | The national nomenclature for classification according to field of research was revised to better follow the FORD classification. | 2011 | Improving international comparability. |
| Type of institution | N |
1) Y-start year, N – data not available
12.3.3.3. Data availability - R&D Personnel (FTE)
| Availability1) | Frequency of data collection | Gap years – years with missing data | Changes - Description | Changes - Year of introduction | Changes - Reasons | |
|---|---|---|---|---|---|---|
| Sex | 1997 | Biennially | Even years since start year. | |||
| Function | 1981 | Biennially | Even years since start year. | |||
| Qualification | 1995 | Biennially | Even years since start year. | |||
| Age | N | |||||
| Citizenship | N | |||||
| Region | 1993 | Biennially | Even years since start year. | |||
| FORD | 1981 | Biennially | Even years since start year. | The national nomenclature for classification according to field of research was revised to better follow the FORD classification. | 2011 | Improving international comparability. |
| Type of institution | N |
1) Y-start year, N – data not available
12.3.3.4. Data availability - other
| Additional dimension/variable available at national level1) | Availability2) | Frequency of data collection | Breakdown variables | Combinations of breakdown variables | Level of detail |
|---|---|---|---|---|---|
| Not available | |||||
1) This question is optional. It refers to variables and breakdowns NOT asked by the Commission Implementing Regulation (EU) No 2020/1197 (neither as 'optional').
2) Y-start year
12.3.3.5. R&D personnel - Cross-classification by function and qualification (if available in FTE and HC)
| Cross-classification | Unit | Frequency |
|---|---|---|
| Not available | ||
13.1. Accuracy - overall
Accuracy in the statistical sense denotes the closeness of computations or estimates to the exact or true values. Statistics are not equal with the true values because of variability (the statistics change from implementation to implementation of the survey due to random effects) and bias (the average of the possible values of the statistics from implementation to implementation is not equal to the true value due to systematic effects).
Several types of statistical errors occur during the survey process. The following typology of errors has been adopted:
- Sampling errors. These only affect sample surveys. They are due to the fact that only a subset of the population, usually randomly selected, is enumerated.
- Non-sampling errors. Non-sampling errors affect sample surveys and complete enumerations alike and comprise:
-
- Coverage errors,
- Measurement errors,
- Non response errors and
- Processing errors.
Model assumption errors should be treated under the heading of the respective error they are trying to reduce.
13.1.1. Accuracy - Overall by 'Types of Error'
| Sampling errors1) | Non-sampling errors1) | Model-assumption Errors1) | Perceived direction of the error2) | ||||
|---|---|---|---|---|---|---|---|
| Coverage errors | Measurement errors | Processing errors | Non response errors | ||||
| Total intramural R&D expenditure | : | 4 | 2 | 3 | : | 1 | +/- |
| Total R&D personnel in FTE | 3 | 1 | 4 | 6 | 2 | 5 | - |
| Researchers in FTE | 4 | 2 | 1 | 6 | 3 | 5 | +/- |
1) Ranking of the type(s) of errors that result in over/under-estimation, from the most important source of error (1) to the least important source of error (6). If errors of a particular type do not exist, the sign ‘:‘ is used.
2) The perceived direction of the ‘overall’ error using the signs “+” for over estimation, “-” for under estimation and “+/-” when assumption of the direction of the error cannot be made for R&D.
13.1.2. Assessment of the accuracy with regard to the main indicators
| Indicators | 5 (Very Good)1) |
4 (Good)2) |
3 (Satisfactory)3) |
2 (Poor)4) |
1 (Very poor)5) |
|---|---|---|---|---|---|
| Total intramural R&D expenditure | X | ||||
| Total R&D personnel in FTE | X | ||||
| Researchers in FTE | X |
1) 'Very Good' = High level of coverage (annual rate of substitution in the target population lower than 5%). High average rates of response (>80%) in census and sample surveys. Full data consistency with reference to totals and relationships between variables in the dataset sent to Eurostat.
2) 'Good' = If at least one out of the three criteria described above is not fully met.
3) 'Satisfactory' = If the average rate of response is lower than 60%, even by meeting the two remaining criteria.
4) 'Poor' = If the average rate of response is lower than 60% and at least one of the two remaining criteria is not be met.
5) 'Very Poor' = If all the three criteria are not met.
13.2. Sampling error
That part of the difference between a population value and an estimate thereof, derived from a random sample, which is due to the fact that only a subset of the population is enumerated.
13.2.1. Sampling error - indicators
See below.
13.2.1.1. Variance Estimation Method
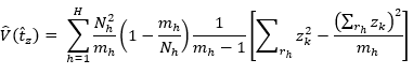
The variance is estimated using Horvitz-Thompson estimation as follows:
Where;
tz is an estimated variable,
h is an index for strata (h = 1, 2, 3,..., H),
k is an index for observations (k = 1, 2, 3,..., K),
zk is the observed value for the observation k,
Nh is the number of objects in stratum h,
mh is the number of responses in stratum h in the sample, and
rh is the number of responses in stratum h
13.2.1.2. Confidence interval for R&D expenditure by source of funds
| Source of funds | R&D expenditure |
|---|---|
| Business enterprise | Not applicable. R&D expenditure for HES are surveyed using a census. |
| Government | Not applicable. R&D expenditure for HES are surveyed using a census. |
| Higher education | Not applicable. R&D expenditure for HES are surveyed using a census. |
| Private non-profit | Not applicable. R&D expenditure for HES are surveyed using a census. |
| Rest of the world | Not applicable. R&D expenditure for HES are surveyed using a census. |
| Total | Not applicable. R&D expenditure for HES are surveyed using a census. |
13.2.1.3. Confidence interval for R&D personnel by occupation and qualification
| R&D personnel (FTE) | ||
|---|---|---|
| Occupation | Researchers | 0.007 |
| Technicians | Not applicable. Breakdown of support staff inte technicians and other support staff is not covered by the HES survey. | |
| Other support staff | Not applicable. Breakdown of support staff inte technicians and other support staff is not covered by the HES survey. | |
| Qualification | ISCED 8 | 0.015 |
| ISCED 5-7 | 0.020 | |
| ISCED 4 and below | 0.204 |
13.3. Non-sampling error
Non-sampling errors occur in all phases of a survey. They add to the sampling errors (if present) and contribute to decreasing overall accuracy. It is important to assess their relative weight in the total error and devote appropriate resources for their control and assessment.
13.3.1. Coverage error
Coverage errors are due to divergences between the target population and the frame population. The frame population is the set of target population members that has a chance to be selected into the survey sample. It is a listing of all items in the population from which the sample is drawn that contains contact details as well as sufficient information to perform stratification and sampling.
- Description/assessment of coverage errors:
R&D expenditure survey: The population consists of all Swedish universities and colleges providing tertiary level education. All higher education institutions that receive funding for research and doctoral education are included in the census survey on R&D expenditure. However, a small number of non-profit organisations whose R&D activities are controlled by tertiary education institutions also belong to the target population but are not covered in the survey. This is assessed to have only a minimal effect on the quality of statistics for the Higher education sector.
Time-use survey: External R&D personnel is not included in the frame for the time use survey. The register used to create the frame only covers persons employed by a Swedish higher education institution which means external personnel is not included. Over-coverage also occurs due to difficulties in excluding non R&D personnel from the frame.
- Measures taken to reduce their effect:
The issue of under-coverage in the time-use survey is amended by estimating R&D performed by external personnel using coefficients from the time-use survey and administrative data on doctoral students that are not employed by the higher education institution where they perform their research.
To mitigate the issues of over-coverage a small survey conducted among the higher education institutions where they are asked to identify which professions among those belonging to the technical or administrative staff and where information on field of research and development is missing for a majority of the individuals in the register are relevant to include in the time-use survey.
13.3.1.1. Over-coverage - rate
Not requested.
13.3.1.2. Common units - proportion
Not requested.
13.3.2. Measurement error
Measurement errors occur during data collection and generate bias by recording values different than the true ones (e.g. difficulty to distinguish intramural from extramural R&D Expenditure). The survey questionnaire used for data collection may have led to the recording of wrong values, or there may be respondent or interviewer bias.
- Description/assessment of measurement errors:
Measurement error is deemed to be one of the more important sources of errors for the Higher education sector. For the R&D expenditure survey measurement error can occur because respondents may not have complete information about the allocation of funds within the organisation. In the time-use survey there may be proximity bias, which can result in responses that are not representative for the whole reference period.
- Measures taken to reduce their effect:
The questionnaire is tested at regular intervals by an expert on questionnaire construction and the instructions to fill in the questionnaire are reviewed before each survey year. The online questionnaire also includes checks to make sure that responses are logically consistent. For the survey on R&D expenditure, checks are also conducted manually when the units have responded to the survey. If any suspect values are found, the respondent is contacted to either confirm or revise their response.
13.3.3. Non response error
Non-response occurs when a survey failed to collect data on all survey variables from all the population units designated for data collection in a sample or complete enumeration.
There are two elements of non-response:
- Unit non-response which occurs when no data (or so little as to be unusable) are collected on a designated population unit.
- Item non-response which occurs when data only on some, but not all survey variables are collected on a designated population unit.
The extent of response (and accordingly of non response) is also measured with response rates.
13.3.3.1. Unit non-response - rate
The main interest is to judge if the response from the target population was satisfactory by computing the un-weighted response rate.
Definition: Eligible are the survey units which indeed belong to the target population. Frame imperfections always leave the possibility that some units may not belong to the target population. Moreover, when there is no contact with certain units and no other way to establish their eligibility they are characterised as ‘unknown eligibility units’.
Un-weighted Unit Non- Response Rate = [1 - (Number of units with a response) / (Total number of eligible and unknown eligibility units in the survey)] * 100
13.3.3.1.1. Un-weighted unit non-response rate
| Number of units with a response in the survey | Total number of units in the survey | Unit non-response rate (Un-weighted) |
|---|---|---|
| R&D expenditure survey: 39 |
R&D expenditure survey: 39 Time-use survey: 12 596 |
R&D expenditure survey: 0 % Time-use survey: 56 % |
13.3.3.2. Item non-response - rate
Definition: Un-weighted Item Non-Response Rate (%) = [1-(Number of units with a response for the item) / (Total number of eligible , for the item, units in the sample)] * 100
13.3.3.2.1. Un-weighted item non-response rate
| R&D Expenditure | R&D Personnel (FTE) | Researchers (FTE) | |
|---|---|---|---|
| Item non-response rate (un-weighted) (%) | 0 % | 0 % | 0 % |
| Comments |
13.3.4. Processing error
Between data collection and the beginning of statistical analysis, data must undergo a certain processing: coding, data entry, data editing, imputation, etc. Errors introduced at these stages are called processing errors. Data editing identifies inconsistencies or errors in the data.
13.3.4.1. Identification of the main processing errors
| Data entry method applied | R&D expenditures survey: Data entry is automated in the digital survey tool (SIV). The data reported in the Excel file are read into an SQL-table. Time-use survey: Data entry is automated in the digital survey tool (SIV). When respondents use the paper survey, the questionnaire is scanned and read automatically. In case the automated service cannot interpret a value, it is entered manually. The data from the digital survey tool and from scanning are then read into an SQL-table. |
|---|---|
| Estimates of data entry errors | No estimate available. |
| Variables for which coding was performed | Coding is not used. |
| Estimates of coding errors | Not applicable. Coding is not used. |
| Editing process and method | R&D expenditures survey: When data are submitted to Statistics Sweden, it is run through a number of checks. This is meant to flag potential errors by comparing the data with previous data and by checking internal consistency. If there are significant changes in the reporting patterns compared to the previous data collection round or if there are internal inconsistencies, the respondent is contacted to validate the data. Time-use survey: The editing process is focused on ensuring consistency in the data. Because the survey is voluntary, respondents are not contacted to validate the data. Instead, checks are done to detect logically inconsistent responses to make sure that these are corrected. |
| Procedure used to correct errors | R&D expenditures survey: Errors detected in the editing process are only corrected after contact with the respondents. Values that are flagged as potential errors in the validation and editing process are checked with the respondents and corrected if they are confirmed as errors by the respondent. In such cases, the respondent is asked to provide the correct information. Time-use survey: Corrections are made when reporting is logically inconsistent. This applies to the question where the respondent allocates their working time to various activities which should sum to 100 percent. There may also be inconsistencies between questions in the questionnaire. These errors are corrected using a set of pre-defined rules. If the error cannot be corrected using these rules, the observation is excluded from the analysis. |
13.3.5. Model assumption error
Not requested.
14.1. Timeliness
Timeliness and punctuality refer to time and dates, but in a different manner: the timeliness of statistics reflects the length of time between their availability and the event or phenomenon they describe. Punctuality refers to the time lag between the release date of the data and the target date on which they should have been delivered, with reference to dates announced in the official release calendar.
14.1.1. Time lag - first result
Time lag between the end of reference period and the release date of the results:
Indicator: (Release date of provisional/ first results) - (Date of reference for the data)
- End of reference period: 31 December 2023.
- Date of first release of national data: 11 July 2024.
- Lag (days): 193.
14.1.2. Time lag - final result
- End of reference period: 31 December 2023.
- Date of first release of national data: 31 October 2024.
- Lag (days): 305.
14.2. Punctuality
Punctuality refers to the time lag between the release date of data and the target date on which they were scheduled for release as announced officially.
14.2.1. Punctuality - delivery and publication
Punctuality of time schedule of data release = (Actual date of the data release) - (Scheduled date of the data release)
14.2.1.1. Deadline and date of data transmission
| Transmission of provisional data | Transmission of final data | |
|---|---|---|
| Legally defined deadline of data transmission (T+_ months) | 10 | 18 |
| Actual date of transmission of the data (T+x months) | 10 | 18 |
| Delay (days) | 0 | 0 |
| Reasoning for delay |
15.1. Comparability - geographical
See below.
15.1.1. Asymmetry for mirror flow statistics - coefficient
Not requested.
15.1.2. General issues of comparability
International comparability is generally deemed to be good. One exception to be noted concerns external personnel. Due to issues with measurement error and under-coverage error, international comparability for statistics on external personnel is low.
15.1.3. Survey Concepts Issues
The following table lists a number of key survey concepts and conceptual issues; it gives reference to the Commission Implementing Regulation (EU) No 2020/1197 or Frascati manual (FM) and EBS Methodological Manual on R&D Statistics paragraphs with recommendations about these concepts/issues.
| Concept / Issues | Reference to recommendations | Deviation from recommendations | Comments on national definition / Treatment – deviations from recommendations |
|---|---|---|---|
| R&D personnel | FM2015 Chapter 5 (mainly sub-chapter 5.2). | No deviations. | |
| Researcher | FM2015, § 5.35-5.39. | No deviations. | |
| Approach to obtaining Headcount (HC) data | FM2015, § 5.58-5.61 (in combination with Eurostat's EBS Methodological Manual on R&D Statistics). | No deviations. | |
| Approach to obtaining Full-time equivalence (FTE) data | FM2015, § 5.49-5.57 (in combination with Eurostat's EBS Methodological Manual on R&D Statistics). | No deviations. | |
| Reporting data according to formula: Total R&D personnel = Internal R&D personnel + External R&D personnel | FM2015, §5.25 | Deviation from the definition of external R&D personnel. | External R&D personnel is defined as doctoral students funded by a stipend, an educational grant or lacking funding. Doctoral students externally employed by the Business enterprise sector and master students are not included in the external R&D personnel. |
| Intramural R&D expenditure | FM2015, Chapter 4 (mainly sub-chapter 4.2). | No deviations. | |
| Statistical unit | FM2015 §3.70 (in combination with Eurostat's EBS Methodological Manual on R&D Statistics). | No deviations. | |
| Target population | FM2015 §9.6 (in combination with Eurostat's EBS Methodological Manual on R&D Statistics). | Deviation regarding borderline research institutes. | Borderline research institutes are not included in the target population due to their limited contribution to the R&D in the sector. The additional response burden and resources necessary to collect data from these units is not considered warranted. |
| Sector coverage | FM2015 §3.67-3.69 (in combination with Eurostat's EBS Methodological Manual on R&D Statistics). | No deviations. | |
| Post-secondary (non university / college) education institutions | FM2015 §9.12 (in combination with Eurostat's EBS Methodological Manual on R&D Statistics). | No deviations. | |
| Hospitals and clinics | FM2015 §9.13-9.17, §9.109-9.112 (in combination with Eurostat's EBS Methodological Manual on R&D Statistics). | No deviations. | |
| Borderline research institutions | FM2015 §9.13-9.17, §9.109-9.112 (in combination with Eurostat's EBS Methodological Manual on R&D Statistics). | No deviations. | |
| Major fields of science and technology coverage and breakdown | Reg. 2020/1197 : Annex 1, Table 18 | No deviations. | |
| Reference period | Reg. 2020/1197 : Annex 1, Table 18 | No deviations. |
15.1.4. Deviations from recommendations
The following table lists a number of key methodological issues, which may affect the international comparability of national R&D statistics. The table gives the references in the Frascati manual (FM), where related recommendations are made. Countries are asked to report on the existence of any deviations from existing recommendations and comment upon.
| Methodological issues | Reference to recommendations | Deviation from recommendations | Comments on national treatment / treatment deviations from recommendations |
|---|---|---|---|
| Data collection method | FM2015 Chapter 9 (mainly sub-chapter 9.5). | No deviations. | The data collection method consists of a census survey collecting data on R&D funds from all higher education institutions in Sweden which is complemented by a time-use sample survey in order to derive R&D coefficients and collect data on the R&D personnel. |
| Survey questionnaire / data collection form | FM2015 Chapter 9 (mainly sub-chapter 9.5). | No deviations. | Direct data collection is conducted by two separate surveys. Data on R&D expenditure are collected through a web-based questionnaire while the time-use survey uses both a web-based and a paper questionnaire as a measure to mitigate object non-response. The web-based versions of the questionnaires contain checks that help respondents avoid logical inconsistencies and other reporting errors. Questionnaires are also revised by experts on questionnaire design to ensure that instructions are clear and easy to find, that the questions are easy to understand and that they arranged in a logical order. |
| Cooperation with respondents | FM2015 Chapter 9 (mainly sub-chapter 9.5). | No deviations. | During the data collection period, respondents can communicate with Statistics Sweden in case they are unable to provide data at the requested date. In such cases, respondents can be allowed a deferment. Communication can also occur in case respondents need further directions on definitions or other issues on how the questionnaire should be answered. |
| Coverage of external funds | FM2015 Chapter 9 (mainly sub-chapter 9.4). | No deviations. | Detailed information on external funds is collected by the Swedish Higher Education Authority and are classified according to FORD in the census survey on R&D expenditure. The methodology follows the recommended principle of performer-based reporting. |
| Distinction between GUF and other sources – Sector considered as source of funds for GUF | FM2015 Chapter 9 (mainly sub-chapter 9.4). | No deviations. | The data collected on funding by the Swedish Higher Education Authority distinguishes GUF from other sources of funds. |
| Data processing methods | FM2015 Chapter 9 (mainly sub-chapter 9.5). | No deviations. | Data are processed to ensure that they do not contain any logical inconsistencies. In the census on R&D expenditure, issues with potential logical inconsistency are handled by contacting the respondents to either confirm or correct the data. In the time-use survey, data is edited according to predetermined rules in case respondents have reported in a logically inconsistent manner. |
| Treatment of non-response | FM2015 Chapter 9 (mainly sub-chapter 9.5). | No deviations. | The census on R&D expenditure has no non-response. In the time-use survey, design weights are adjusted to account for non-response. This method is based on the assumption that units within the same stratum share similar characteristics. No imputation is used for either object non-response or item non-response. |
| Variance estimation | FM2015 Chapter 6 (mainly sub-chapter 6.9). | No deviations. | Taylor Series Variance Estimation is used for the sample survey on R&D personnel. |
| Method of deriving R&D coefficients | FM2015 Chapter 9 (mainly sub-chapter 9.5). | No deviations. | R&D coefficients are derived from time-use data. See section 18.5.3 for a description of the method. |
| Quality of R&D coefficients | FM2015 Chapter 9 (mainly sub-chapter 9.5). | No deviations. | R&D coefficients are updated biennially. |
| Data compilation of final and preliminary data | Reg. 2020/1197: Annex 1, Table 18 | No deviations. | Both preliminary and final data are compiled on the main indicators annually. |
15.2. Comparability - over time
See below.
15.2.1. Length of comparable time series
See below.
15.2.2. Breaks in time series
| Length of comparable time series | Break years1) | Nature of the breaks | |
|---|---|---|---|
| R&D personnel (HC) | 2005-2023 | 2023, 2021, 2017, 2005, 2001, 1993 | 2023: Only individuals contributing the equivalent of 0.1 FTE to R&D are included in the R&D personnel. 2021: The Swedish Institute of Space Physics was reclassified as belonging to the Government sector. 2017: Methodological change concerning the calculation of R&D personnel as headcount. The new method utilises both administrative data on employment category and survey data from the time-use survey to identify R&D personnel. The previous method was based only on administrative data which meant that individuals were included in the headcount even if they had not engaged in R&D according to their responses in the time-use survey. 2005: Change in data collection method. Introduction of a time-use survey replacing the previous survey that collected data on R&D personnel from the faculties. External R&D personnel is not included in the total R&D personnel. 2001: External R&D personnel, i.e. researchers and teachers not employed by the higher education institution are included in total R&D personnel. 1993: R&D personnel employed in hospitals administered by local government were not included. However, doctoral students performing R&D funded by educational grants were included for the first time. |
| Function | 2023 | 2019, 2023 | 2023: A new method for classifying R&D personnel according to function based on data from a time-use survey was introduced. 2019: A new classification for employment category is implemented. This classification is used in order to classify individuals according to function. |
| Qualification | 2017-2023 | ||
| R&D personnel (FTE) | 2005-2023 | 2023, 2021, 2005, 2001, 1993 | 2023: Only individuals contributing the equivalent of 0.1 FTE to R&D are included in the R&D personnel. 2021: The Swedish Institute of Space Physics is reclassified as belonging to the Government sector. 2005: Change in data collection method. Introduction of a time-use survey replacing the previous survey that collected data on R&D personnel from the faculties. External R&D personnel is not included in the total R&D personnel. 2001: External R&D personnel, i.e. researchers and teachers not employed by the higher education institution are included in total R&D personnel. 1993: R&D personnel employed in hospitals administered by local government were not included. However, doctoral students performing R&D funded by educational grants were included for the first time. |
| Function | 2023 | 2019, 2023 | 2023: A new method for classifying R&D personnel according to function based on data from a time-use survey was introduced. 2019: A new classification for employment category is implemented. This classification is used in order to classify individuals according to function. |
| Qualification | 2013-2023 | ||
| R&D expenditure | 2005-2023 | 2023, 2021, 2005, 2001, 1993 | 2021: The Swedish Institute of Space Physics is reclassified as belonging to the Government sector. 2021: A new method for calculating R&D coefficients was implemented. As recommended in FM15, data from the time-use survey is used to calculate R&D coefficients. 2019: Prior to reference year 2019 R&D financed by the Swedish ALF funds (the "Agreement on Medical Training and Research") were included in HES and excluded from GOV. As of 2019 R&D financed by ALF funds are included in GOV and therefore excluded from HES, i.e. the opposite relationship. The main reason for this change is that R&D financed by ALF funds should be represented in the sector where the funding is consumed, which is within the regional government sub-sector that is a part of GOV. The change results in a large increase in total GOVERD, but also a decrease in total HERD. 2005: A new method for excluding costs for doctoral education is implemented. Administrative data on salaries, over-head costs and other related costs are used to estimate the costs of education within the doctoral programme. 1995: Capital expenditure for R&D in higher education is excluded; consequently, all 1995 data concerning HERD are underestimated and not comparable to corresponding data for previous or following years |
| Source of funds | 2019-2023 | 2019, 1985 | 2019: ALF funds are excluded from general university funds (GUF). The main reason for this change is that R&D financed by ALF funds should be represented in the sector where the funding is consumed, which is within the regional sector that is a part of GOV. The change results in a large increase in total GOVERD, but also a decrease in total HERD. 1985: The University of Agricultural Sciences' own funds were estimated at a higher level than before as a result of improved information from the accounting system. |
| Type of costs | 1997-2023 | 2021, 1995 | 2021: Data collection on R&D expenditure by type of R&D is conducted for the first time. 1995: Capital costs were not reported for the reference year. |
| Type of R&D | 2021-2023 | ||
| Other | 2015, 2011 | 2015: Modified sample design for the time-use survey. A pre-survey to the higher education institutions was introduced to mitigate over coverage in the frame population. 2015: Modified calculation of R&D coefficients. 2011: R&D expenditure were collected according to two classifications of field of science. From 2013 and onwards only the new classification will be used. This corresponds to the FORD classification of FM15. |
1) Breaks years are years for which data are not fully comparable to the previous period.
15.2.3. Collection of data in the even years
For even reference years data is not collected using surveys. Funding for R&D in the Higher education sector is collected from the Swedish Higher Education Authority and R&D expenditure is estimated using R&D coefficients for the previous odd reference year. To estimate R&D personnel, data from the Registry of the Employees in Higher Education is used to update the population. This information, combined with data from the previous years survey, is used to estimate R&D personnel.
15.3. Coherence - cross domain
This part deals with any national coherence assessments which may have been undertaken. It reports results for variables which are the same or relevant to R&D statistics, from other national surveys and / or administrative sources and explains and comments on their degree of agreement with R&D statistics. The education statistics (UNESCO/OECD/Eurostat (UOE)) include R&D expenditure in tertiary educational institutions and follow the recommendations of the Frascati manual (FM) regarding the definition of R&D expenditure. Due to the differences in the coverage some differences in the two datasets (UOE questionnaire and the R&D HES surveys) are expected. However, there is a need to ensure that a harmonised approach is used for compiling data in the two domains. The two statistical domains should aim for a consistent use of R&D coefficients for splitting teaching and research time.
15.3.1. Coherence - sub annual and annual statistics
Not requested.
15.3.2. Coherence - National Accounts
Not available, no analysis of coherence has been conducted.
15.3.3. Coherence – Education statistics
Coherence between R&D statistics for the Higher education sector and education statistics is generally good. However, there are differences in the coverage that causes differences. The R&D statistics only cover higher education institutions that conduct R&D and personnel that performs R&D or provide direct support to R&D. The scope of education statistics is broader and covers all higher education institutions and all their personnel.
15.4. Coherence - internal
See below.
15.4.1. Comparison between preliminary and final data
This part compares key R&D variables as preliminary and final data.
| Total R&D expenditure – HERD (in 1000 of national currency) | Total R&D personnel (in FTEs) | Total number of researchers (in FTEs) | |
|---|---|---|---|
| Preliminary data (delivered at T+10) | 47 994 596 | 22 189 | 21 148 |
| Final data (delivered T+18) | 47 888 443 | 22 330 | 21 251 |
| Difference (of final data) | -106 153 | +141 | +103 |
Comments:
15.4.2. Consistency between R&D personnel and expenditure
| Average remuneration per year (cost in national currency) | Explanation of consistency issues if any | |
|---|---|---|
| Consistency between FTEs of internal R&D personnel and R&D labour costs (1) | Not available. R&D labour costs are not collected for the Higher education sector. | |
| Consistency between FTEs of external R&D personnel and other current costs for external R&D personnel (2) | Not available. Other current costs for external R&D personnel are not collected for the Higher education sector. |
(1) Calculate the average remuneration (cost) of individuals belonging to the internal R&D personnel, excluding those who are only formally ‘employees’ (university students, grant holders, etc.).
(2) Calculate the average remuneration (cost) of individuals belonging to the external R&D personnel (FTEs/other current R&D costs for external R&D personnel).
The assessment of costs associated with a statistical product is a rather complicated task since there must exist a mechanism for appointing portions of shared costs (for instance shared IT resources and dissemination channels) and overheads (office space, utility bills etc). The assessment must become detailed and clear enough so that international comparisons among agencies of different structures are feasible.
16.1. Costs summary
| Costs for the statistical authority (in national currency) | Cost for the NSI in time use/person/day | |
|---|---|---|
| Staff costs | Not available. Costs associated with the HES survey are not reported seperatly from other R&D statistics. | Not available. Costs associated with the HES survey are not reported seperatly from other R&D statistics. |
| Data collection costs | Not available. Costs associated with the HES survey are not reported seperatly from other R&D statistics. | Not available. Costs associated with the HES survey are not reported seperatly from other R&D statistics. |
| Other costs | Not available. Costs associated with the HES survey are not reported seperatly from other R&D statistics. | Not available. Costs associated with the HES survey are not reported seperatly from other R&D statistics. |
| Total costs | Not available. Costs associated with the HES survey are not reported seperatly from other R&D statistics. | Not available. Costs associated with the HES survey are not reported seperatly from other R&D statistics. |
The shares of the figures given in the first column that are accounted for by payments to private firms or other Government agencies.
Comments on costs:
....
16.2. Components of burden and description of how these estimates were reached
| Value | Computation method | |
|---|---|---|
| Number of Respondents (R) | R&D expenditure survey: 39 Time-use survey: 5 388 |
For the time-use survey the same respondent may report for more than one unit, thus the number of respondents is lower than the number of units for which a response has been received. |
| Average Time required to complete the questionnaire in hours (T)1) | Not available. Information on the time required to complete the questionnaire is not collected either for the time-use survey or the census survey on R&D expenditure. | |
| Average hourly cost (in national currency) of a respondent (C) | R&D expenditure survey: SEK 1 031 Time-use survey: Not available, the average hourly cost of a respondent is not computed for individuals. |
|
| Total cost |
1) T = the time required to provide the information, including time spent assembling information prior to completing a form or taking part in interview and the time taken up by any subsequent contacts after receipt of the questionnaire (‘Re-contact time’)
17.1. Data revision - policy
Not requested.
17.2. Data revision - practice
Not requested.
17.2.1. Data revision - average size
Not requested.
18.1. Source data
Several separate activities are used for the collection of raw data or pre-compiled administrative data and statistics related to R&D. This section collects information on the type of data collection instruments used as well as methodological information for each data collection instrument. Depending on the type of data collection instrument used, only the sections corresponding to that data collection instrument are filled in.
18.1.1. Data source – general information
R&D statistics for the Higher education sector are based on two surveys. One survey is directed to the higher education institutions and the other is a time-use survey directed to employed personnel at higher education institutions.
The survey directed to the higher education institutions is a census and concerns funding for R&D and the doctoral programme. The data collection utilises administrative data on total funding by source of funds obtained from the Swedish Higher Education Authority. In the survey the higher education institutions allocated the funding according to fields of research and development.
The time-use survey is a sample survey, and it is complemented with administrative data from the Registry of the Employees in Higher Education. In the time-use survey data on the number of hours worked in an average work week and time allocated to various activities are collected. Administrative data from the register comprises primarily field of research and development, employment scope (in percent of a full-time employment), qualification, and employment category. The survey data and administrative data are combined to estimate R&D personnel.
Data on the share of working hours spent on R&D activities collected in the time-use survey are used to estimate R&D coefficients. These R&D coefficients are applied to the data on R&D funding in order to exclude costs concerning education within the doctoral programme and estimate intramural R&D expenditure.
18.1.2. Sample/census survey information
| Sampling unit | R&D expenditure survey: Legal units categorised as higher education institutions. Time-use survey: Position at a higher education institution. |
|---|---|
| Stratification variables (if any - for sample surveys only) | Time-use survey: sex, employment category, FORD, higher education institution. |
| Stratification variable classes | Sex: men, women FORD: natural sciences, engineering and technology, medical and health sciences, agricultural and veterinary sciences, social sciences, humanities and the arts Employment category: professors, postdoctoral researchers, associate senior lecturers and postdoctoral research fellows, senior lecturers, lecturers, other research and teaching staff, doctoral students, administrative and technical personnel Higher education institution: Blekinge Institute of Technology, Chalmers University of Technology, Marie Cederschiöld University, Swedish National Defence College, University of Gothenburg, Stockholm School of Economics, Dalarna University, University of Borås, University of Gävle, Halmstad University, Jönköping University, University of Skövde, Kristianstad University, University West, Karlstad University, Karolinska Institutet, KTH Royal Institute of Technology, Linköping University, Linnaeus University, Luleå University of Technology, Lund University, Malmö University, Mid Sweden University, Mälardalen Univeristy, The Red Cross University College, Sophiahemmet University, Stockholm University, Swedish University of Agricultural Sciences, Södertörns University, Umeå University, Uppsala University, and Örebro University. |
| Population size | R&D expenditure survey: 39 legal units. Time-use survey: 58 769 positions. |
| Planned sample size | Time-use survey: A minimum planned sample size of 7 positions per stratum. |
| Sample selection mechanism (for sample surveys only) | Time-use survey: Systematic stratified sample. |
| Survey frame | R&D expenditure survey: All legal units categorised as higher education institutions that received funding for research and development during the reference period. Time-use survey: Positions that are classified according to FORD or classified as researchers in the Registry of the Employees in Higher Education. A pre-survey is conducted to limit the number of positions that are neither classified according to FORD nor classified as researchers. Only positions that are deemed likely to belong to the R&D personnel are included. |
| Sample design | Time-use survey: Stratified systematic sample. The frame is ordered by the stratification variables and every position at a fixed interval is sampled. |
| Sample size | R&D expenditure survey: 39 legal units. Time-use survey: 12 596 positions. |
| Survey frame quality | R&D expenditure survey: The quality of the frame is good. Borderline research institutes belonging to the Higher education sector are, however, excluded from the survey. Time-use survey: The quality of the frame is good. There may be some under coverage since the frame only captures positions at a certain date. Such positions as ended before this date or started after it but were still relevant for the reference period are thus not covered by the frame. There is also over coverage due to imperfect information on which positions belong to the R&D personnel. |
| Variables the survey contributes to | R&D expenditure survey: Intramural R&D expenditure Time-use survey: R&D personnel and intramural R&D expenditure. |
18.1.3. Information on collection of administrative data or of pre-compiled statistics
| Source | The Register on Employees in Higher Education, the Register on Third-cycle students and third-cycle qualifications, and economic data including balance sheets for higher education institutions. |
|---|---|
| Description of collected data / statistics | Register on Employees in Higher Education: A register of all employed positions in higher education including information on the person holding the position, its scope and other characteristics. Variables collected from the register includes scientific field by FORD, qualification by ISCED, sex, and employment scope as a share of full time employment. Register on Third-cycle students and third-cycle qualifications: A register covering all active doctoral students and all completed doctoral qualifications and information on the personal characteristics on the individuals holding the positions and qualifications. The data collected from the register constitutes all acitve doctoral students not employed at a HEI but recieving funding for their studies by other means. Economic data for HEI: Survey data collected by the Swedish Higher Education Authority containing complete information on funding by source of funds and area of operations. The data collected from this source are funds for research and doctoral education by source of funds. |
| Reference period, in relation to the variables the administrative source contributes to | Register on Employees in Higher Education: October of the reference year of the variables that the register information contributes to. Register on Third-cycle students and third-cycle qualifications: October of the reference year of the variables that the register information contributes to. Economic data for HEI: Calendar year, the same reference period as the variables that the data contributes to. |
| Variables the administrative source contributes to | Register on Employees in Higher Education: Internal and total R&D personnel and all breakdowns for these variables. Register on Third-cycle students and third-cycle qualifications: External and total R&D personnel. Economic data for HEI: R&D expenditure and all breakdowns of this variable. |
18.2. Frequency of data collection
See 12.3.3.
18.3. Data collection
See below.
18.3.1. Data collection overview
| Information provider | R&D expenditure survey: Central economy departments at higher education institutions. Time-use survey: Individuals employed in the Higer education sector. |
|---|---|
| Description of collected information | R&D expenditure survey: Data on funding for R&D allocated by FORD (3-digit level) and source of funds is collected for each higher education institution. Capital costs and depreciations are also collected allocated by FORD (1-digit level). Time-use survey: Data on the allocation of working time in percent is collected. The activities the respondents are asked to allocate their time between are the following:
|
| Data collection method | R&D expenditure survey: The questionnaire used is an Excel file that is downloaded from and uploaded to Statistics Sweden's online survey tool, SIV. There is a unique file for every higher education institution which contains total funding for R&D and the doctoral programme by source of funds as well as total depreciations for R&D and the doctoral programme. These data are collected from the Swedish Higher Education Authority and pre-printed in the Excel file for each higher education institution. The respondent is asked to allocate the funding by FORD and enter capital costs. When the file is uploaded it is automatically checked for potential errors such as if the respondent has not entered any capital costs or if the allocated funding does not sum up to the pre-printed totals. Time-use survey: The primary data collection method is an online questionnaire, implemented in Statistics Sweden's online survey tool, SIV. This questionnaire contains automated checks that ensure that the respondent cannot answer in a way that is logically inconsistent. It is also tested by an expert in survey design to ensure that the order of the questions is logical, that instructions are clear and relevant, and that questions are worded in a way to avoid misunderstanding. As a measure to avoid a systematically skewed non-response it is also possible to respond to the survey on paper. The paper questionnaire is sent out by mail to all those who have not yet responded by the second remainder. In total, four reminders are sent out by mail. |
| Time-use surveys for the calculation of R&D coefficients | See description of information provider, collected information and collection method for the time-use survey above. |
| Realised sample size (per stratum) | The realised sample size for the time-use survey for the reference year 2023 was 12 596 units. |
| Mode of data collection (face-to-face interviews; telephone interviews; postal surveys, etc.) | R&D expenditure survey: Online questionnaire. Time-use survey: Online questionnaire and postal survey. |
| Incentives used for increasing response | No incentives are used to increase response. |
| Follow-up of non-respondents | R&D expenditure survey: In case of non-response, contact persons are contacted by email or telephone. Time-use survey: No follow-up of non-response. |
| Replacement of non-respondents (e.g. if proxy interviewing is employed) | No replacement of non-response. |
| Response rate (ratio of completed "interviews" over total number of eligible enterprises or enterprises of unknown eligibility) | R&D expenditure survey: 100 % Time-use survey: 44 % |
| Non-response analysis (if applicable -- also see section 18.5. Data compilation - Weighting and Estimation methods) | Not applicable. No non-response analysis has been conducted. |
18.3.2. Questionnaire and other documents
| Annex | Name of the file |
|---|---|
| R&D national questionnaire and explanatory notes in English: | Time-use survey: Time-use survey questionnaire Swedish/English The questionnaire for the R&D expenditure survey is only available in Swedish (see below). |
| R&D national questionnaire and explanatory notes in the national language: | R&D expenditure survey: R&D funds questionnaire Time-use survey: Time-use survey questionnaire Swedish/English |
| Other relevant documentation of national methodology in English: | |
| Other relevant documentation of national methodology in the national language: |
Annexes:
TIme-use survey questionnaire Swedish/English
R&D funds questionnaire
18.4. Data validation
R&D expenditure survey: Data are validated both at micro and macro level. The validation at micro level consists of comparing the allocation of funds by FORD for each higher education institution with the data provided two years previous. In case of major differences in the reporting, the respondent is contacted to confirm or revise their answer. At the macro level the data validation focuses on numeric consistency, e.g. making sure that corresponding sums in different statistical tables are the same and that there is consistency between sums and their respective parts. This validation helps ensure that no processing errors have occurred.
Time-use survey: Data validation at the micro level for this survey focuses on ensuring logical consistency in the data by editing data where such inconsistencies occur. Pre-established rules are used to edit micro data for logical inconsistencies such as if the respondent has responded both online and on paper and the responses do not match. The online questionnaire contains checks that ensure that a respondent cannot answer in a way that is logically inconsistent. However, in the paper questionnaire this is not possible. For these respondents it is therefore sometimes necessary to edit micro data to make it logically consistent. As with the census on R&D expenditure, the data validation at the macro level focuses on numeric consistency to make sure no processing errors have occurred.
18.5. Data compilation
See below.
18.5.1. Imputation - rate
Imputation is the method of creating plausible (but artificial) substitute values for all those missing.
Definition:
Imputation rate (for the variable x) % = (Number of imputed records for the variable x) * 100/ (Total number of possible records for x)
18.5.2. Data compilation methods
| Data compilation method - Final data | Both the R&D expenditure survey and the time-use survey are conducted biennially. For the intramural R&D expenditure, depreciations are subtracted from the R&D funding data and R&D coefficients are then applied to exclude costs concerning education within the doctoral program. Since this is a census, no statistical estimation method is used but once depreciations and education has been excluded, data can be summed up to the required aggregates. R&D personnel statistics are based on data collected from individuals employed by the higher education institutions. Statistical estimation is used to compile statistics for the higher education institutions and for sectoral aggregates. In years when no survey is conducted, updated administrative data on R&D funding and the frame population for the time-use survey are collected to make estimations for even reference years. |
|---|---|
| Data compilation method - Preliminary data | The method for compiling preliminary data is the same as for final data. |
18.5.3. Methodology for derivation of R&D coefficients
| National methodology for their derivation. | The method for deriving R&D coefficients utilises data from the time-use survey on R&D personnel in the Higher education sector. Through the time-use survey data is collected on how R&D personnel allocate their working hours between different activities, such as R&D or direct support to R&D activities, teaching, participation in courses within one’s own doctoral education and administration not directly related to R&D. Because the funding to which the R&D coefficients are applied only cover research and the doctoral programme, the purpose of the R&D coefficient is to exclude costs connected to the educational part of the doctoral programme so as to isolate R&D expenditure. Therefore, it is only necessary to take into account time spent either on R&D or on participation in courses within one’s own doctoral education when deriving the R&D coefficients. Using the time-use data, a R&D ratio can be calculated for each respondent. Respondents that are not doctoral students, and thus do not allocate any time to participation in such courses, get a ratio of 1, while those who are doctoral students get a ratio between 0 and 1 according to the following formula: R&D ratio = R&D / (R&D + participation in doctoral education) The R&D coefficient is the estimated average R&D ratio for each cross-classification by higher education institution and FORD. Hence, in case there are no doctoral students in a cross-classification, it will have an R&D coefficient of 1. |
|---|---|
| Revision policy for the coefficients | R&D coefficients are revised biennially. |
| Issues that affect their quality (e.g. date of last update, aggregation level at which they are computed, etc). | Since R&D coefficients are estimated based on data from the time-use survey, their quality is affected by the response rate and other quality aspects of the survey. |
18.5.4. Measurement issues
| Method of derivation of regional data | R&D expenditure and R&D personnel are distributed regionally based on data on the work location for the personnel. Subsequently, if 10 percent of the personnel works in a region, then 10 percent of the higher education institution's R&D expenditure are allocated to that region. |
|---|---|
| Coefficients used for estimation of the R&D share of more general expenditure items | Data on R&D funds collected in the survey contains both funds for research and for the doctoral programme. Since costs for education within the doctoral programme should not be included in R&D expenditure according to FM15, R&D coefficients are used to distinguish R&D expenditure from the educational costs. See section 18.5.3. for a description of the methodology for deriving the R&D coefficients. |
| Inclusion or exclusion of VAT and provisions for depreciation in the measurement of expenditures | Higher education institutions are exempt from VAT, thus no measures need to be taken to exclude VAT from R&D expenditure. Data on depreciations are collected from the higher education institutions and subtracted from R&D expenditure. |
| Treatment and calculation of GUF source of funds / separation from “Direct government funds” | Data on R&D funds collected from The Swedish Higher Education Authority is detailed enough to separate general university funds (GUF) from direct government funding. |
18.5.5. Weighting and estimation methods
| Description of weighting method | R&D expenditure survey: No weighting is applied as R&D expenditure are measured by a census survey. Time-use survey: Weights are adjusted to compensate for object non-response. They are calculated by dividing the number of units in the population by the number of respondents for each stratum. No further calibration based in auxiliary information is performed to compensate for non-response. |
|---|---|
| Description of the estimation method | R&D expenditure survey: Expenditure is derived from R&D funding by subtracting depreciations and costs associated with the education within the doctoral programme. Depreciations are subtracted by multiplying R&D funds by source of funds and FORD (3-digit level) with a depreciation ratio calculated as follows: Costs associated with education within the doctoral programme are subtracted in a similar manner by multiplying the funding from which depreciations have been subtracted with an R&D coefficient. For more details on the method for deriving R&D coefficients see 18.5.3. Methodology for derivation of R&D coefficients. Time-use survey: The estimation method used is Taylor Series Variance Estimation. |
18.6. Adjustment
Not requested.
18.6.1. Seasonal adjustment
Not requested.
Statistics on higher education R&D (HERD) measure research and experimental development (R&D) performed in the higher education sector, i.e. R&D expenditure and R&D personnel. In line with this objective the target population for the national R&D survey of the higher education sector should consist of all R&D performing institutional units (including all R&D performers – occasional and continuous, known and unknown - in all branches and size classes) belonging to this sector.
The main concepts and definitions used for the production of R&D statistics are given by the OECD (2015), Frascati Manual 2015: Guidelines for Collecting and Reporting Data on Research and Experimental Development, The Measurement of Scientific, Technological and Innovation Activities, which is the internationally recognised standard methodology for collecting R&D statistics and Eurostat’s European Business Statistics Methodological Manual on R&D Statistics (EBS Methodological Manual on R&D Statistics) complements this with guidelines for further harmonisation among EU, EFTA and candidate countries.
The guiding document to preparing the quality reports is the European Statistical System (ESS) Handbook for Quality and Metadata Reports — re-edition 2021.
Since the beginning of 2021, the collection of R&D statistics is based on Commission Implementing Regulation (EU) No 2020/1197 of 30 July 2020. The Regulation sets the framework for the collection of R&D statistics and specifies the main variables of interest and their breakdowns at predefined level of detail.
28 October 2025
See below.
The statistical unit is the institutional unit as defined by Council Regulation (EEC) No 1993/696 of 15 March 1993.
See below.
Not requested. R&D statistics cover national and regional data.
Calendar year 2023 is the reference year.
Accuracy in the statistical sense denotes the closeness of computations or estimates to the exact or true values. Statistics are not equal with the true values because of variability (the statistics change from implementation to implementation of the survey due to random effects) and bias (the average of the possible values of the statistics from implementation to implementation is not equal to the true value due to systematic effects).
Several types of statistical errors occur during the survey process. The following typology of errors has been adopted:
- Sampling errors. These only affect sample surveys. They are due to the fact that only a subset of the population, usually randomly selected, is enumerated.
- Non-sampling errors. Non-sampling errors affect sample surveys and complete enumerations alike and comprise:
-
- Coverage errors,
- Measurement errors,
- Non response errors and
- Processing errors.
Model assumption errors should be treated under the heading of the respective error they are trying to reduce.
R&D expenditure is published in the following units: Euro (MIO_EUR) and Euro per inhabitant (EUR_HAB); data are available in the following units: basic unit National currency (MIO_NAC); Purchasing Power Standard (MIO_PPS); Purchasing Power Standard at 2005 prices (MIO_PPS_KP05); Purchasing Power Standard per inhabitant at constant 2005 prices (PPS_HAB_KP05); Percentage of gross domestic product (PC_GDP); and Percentage of total R&D expenditure (PC_TOT - for the breakdown by source of funds).
R&D personnel data are published in full-time equivalent (FTE), in head count (HC), as a percentage of total employment and as a percentage of active population.
See below.
Several separate activities are used for the collection of raw data or pre-compiled administrative data and statistics related to R&D. This section collects information on the type of data collection instruments used as well as methodological information for each data collection instrument. Depending on the type of data collection instrument used, only the sections corresponding to that data collection instrument are filled in.
The frequency of R&D data dissemination at Eurostat level is yearly for provisional and final data.
Nationally, R&D data are disseminated yearly. Provisional statistics are published in July and final statistics in October.
Timeliness and punctuality refer to time and dates, but in a different manner: the timeliness of statistics reflects the length of time between their availability and the event or phenomenon they describe. Punctuality refers to the time lag between the release date of the data and the target date on which they should have been delivered, with reference to dates announced in the official release calendar.
See below.
See below.


